También os quería hablar de otro trabajo publicado hace unos meses desde el CITA:
En este estudio, los autores comparan rasgos como el peso, la madurez, la forma y la probabilidad de ser atacadas por Leiodes, en diferentes tipos de suelo y por primera vez en nidos con turba.
Muchos truficultores afirman que los nidos aumentan la calidad de la trufa, aunque algunos advierten de varios problemas, por ejemplo con la rehumectación de la turba después que quede seca, mientras que otros consideran que las trufas en los nidos parecen menos maduras (esporas menos melanizadas, gleba de color más claro) y menor intensidad de aroma. Otros afirman que la densidad de la trufa es menor …
Para ver la magnitud de este estudio, durante dos temporadas, se recolectaron 1865 T. melanosporum en 1212 marcas, siendo en los nidos el 53% de las trufas recolectadas.
La proporción de trufas en nidos varió durante la temporada, mostrando una tendencia positiva desde el inicio de campaña hasta principios de diciembre, tras esas fechas comenzó a declinar. Las trufas en nidos siguen dominando hasta mediados de enero y a partir de mediados de febrero las trufas en suelo son la mayoría.
Las trufas recolectadas en nidos salen más hondas que las recolectadas en el suelo. En el 57% de las marcas directas en suelo, las trufas se encontraron a profundidades menores a 10 cm, mientras que en el 67% de los nidos se encontraron a profundidades entre 10 y 20 cm.
Alrededor del 74% de las marcas presentaron solo una trufa, y las restantes presentaron de 2 a 17.
Cuando hay más de una trufa, suelen marcarse desde principios de temporada hasta principios de enero.
Los nidos mostraron un efecto positivo en el suelo 1, en el que el número de trufas por marca casi se duplicó con respecto al suelo sin nidos; un efecto positivo en Suelo 2 pero solo aumentando el número de trufas en un 30%; y ningún efecto en el suelo 3.
El índice de forma de las trufas, cuando sale una única trufa, es mayor en nidos que el suelo.
Al analizar la densidad de la trufa, vieron que la densidad de las trufas medidas osciló entre 0,8 y 1,9 g ml − 1 sin que se encontraran diferencias entre el suelo y nidos en ningún momento de la temporada.
El peso de las trufas en suelo en una de las campañas estuvo influenciado por las propiedades del suelo, con mayor peso en suelos más arenosos.

Los nidos son una práctica común en España y los resultados demuestran, por primera vez, que los nidos modifican de manera efectiva varios rasgos importantes:
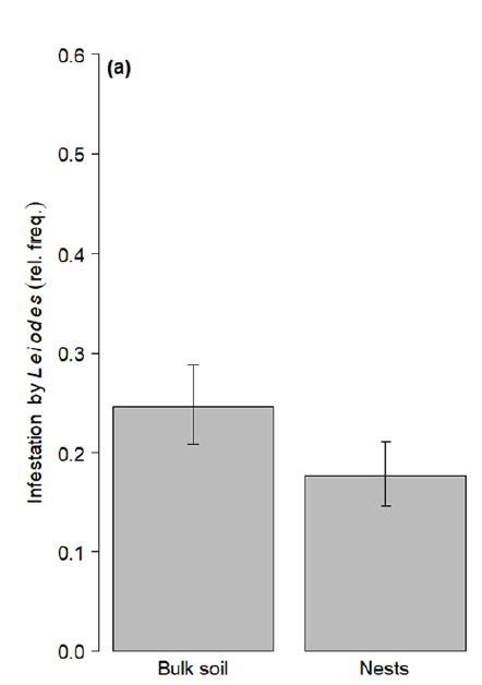
Las trufas en nidos tienen formas más esféricas y menor probabilidad de infestación por Leiodes, lo que resultó en una mejor calidad de la trufa. La mejora de la forma podría explicarse fácilmente por la menor y más uniforme resistencia a la penetración del sustrato. Los niveles más bajos de plagas podrían estar relacionados con el sustrato, de estructura suelta, que dificulta la movilidad de los escarabajos adultos o dificulta la unión de los huevos a los agregados del suelo. Este resultado concuerda con la observación incidental, durante el muestreo de campo, que en las trufas que crecen en la pard del nido (mitad en suelo y mitad en turba), las galerías de Leiodes se ubicaron principalmente en el lado del suelo.
La proporción de trufas infestadas por Leiodes fue menor en los nidos que en el suelo como se ve en el gráfico:

Los nidos aumentaron claramente la profundidad a la que salen las trufas. Esto es muy apreciado por los truficultores, pues esas trufas están menos expuestas a daños (heladas, animales…) y es más improbable que sufran una maduración irregular o imperfecta.
Los nidos aumentaron el número de trufas por marca en dos de los suelos estudiados. El mayor número de trufas en los nidos podría deberse a una mayor supervivencia de los primordios. Teniendo en cuenta las propiedades de la turba y los requisitos ambientales para el crecimiento de las trufas, la alta disponibilidad de agua y la aireación en los nidos podrían ser fundamentales en este proceso.
El mayor número de trufas en los nidos también podría estar relacionado con una mayor iniciación de la fructificación. Al hacer el nido, se crea una discontinuidad abrupta en la interfaz suelo / sustrato que podría favorecer la formación de primordios.
Los nidos parecen promover particularmente que las trufas salgan al inicio de temporada. Esto podría deberse a que el hongo encuentra las condiciones que favorecen un inicio temprano de la fructificación, de la maduración o quizás aumentan la tasa de desarrollo.
En conclusión, los nidos aumentaron efectivamente la profundidad de la trufa, mejoraron la forma y disminuyeron la infestación de Leiodes, sin disminuir la madurez en las marcas donde salía una sola trufa.
Debo decir que varios truficultores se quejan de que el aroma de las trufas que se encuentran dentro de los nidos no es tan bueno como en el suelo, probablemente una nueva investigación que se está haciendo actualmente lo demuestre. Por supuesto, agregando la turba, estamos cambiando la comunidad bacteriana que es uno de los principales responsables de producir los compuestos volátiles del aroma de la trufa …
Nuevamente, ¡felicidades al equipo de investigación por este trabajo!
Saludos,
Marcos Morcillo





En truferas de 8 a10 años nido de 20cm de profundidad suele salir una gran cantidad pequeñas, sanas si